主页
软件技术
返回
生猪屠宰行业ERP软件解决方案

一、屠宰行业背景

        屠宰加工行业是传统食品加工行业,主要产品是猪白条、副产品、猪肉分割品等,其行业基本特性是:

        1、产品非标准,同时产品属于生鲜制品在仓储、转运、销售等过程中都有不同程度的损耗。

        2、原料采购及销售市场行情波动快,对公司信息取得及信息反应要求高。

        3、屠宰行业竞争激烈,产品同质化严重,其市场竞争其本是产品高度同质化下的成本竞争。

        4、生猪屠宰行业整体信息化水平相对较低与激烈的市场竞争条件下的信息需求不对称。

        5、屠宰生产加工工艺流程中计数、计量、数据统计手段落后,基本处于人为手工操作层面,数据准确性差,管理成本高,不可控因素多。

        2009年双汇事件后,猪肉及猪肉制品安全问题成为公众关注的重要内容,同时在政府层面也引起了高度重视,在2010年及2011年的政府一号文件中对食品安全及食品可追溯体系的建设都提出了明确的要求。特别是在2010年初,国务院出台和颁布了《全国生猪屠宰行业发展规划纲要 2010-2015》,纲要明确指出: 

         A、“将建立和推行生猪定点屠宰厂(场)分级管理制度。依据《食品安全法》和《生猪屠宰管理条例》等法律法规,制订《生猪定点屠宰厂(场)分级管理办法》和《生猪屠宰企业资质等级要求》,将定点屠宰厂(场)划分为若干等级,等级越高标志着企业技术、管理和产品质量水平越高,肉品可能的流通范围也越大,实现促进先进企业发展,逐步淘汰落后企业的目标”。

        B、“运用中央和地方财政资金,引导企业加大投入,开展“放心肉”服务体系创建工作。组织开展试点,使用中央财政专项资金,支持建设屠宰行业监管技术系统和肉品质量安全信息可追溯系统;支持生猪定点屠宰厂(场)进行升级改造。”

        C、 “支持和鼓励有条件的地方运用现代信息和网络技术,建立监管技术平台,加强对定点屠宰厂的监管,实时发现并及时处理违法违规行为;建立肉品质量信息可追溯系统,形成对有问题肉品从零售、批发、屠宰到养殖层层追根溯源的能力。”

        在纲要中反复要求规模以上屠宰企业必须要建立屠宰可追溯系统,必将可追溯体系统建设和正常运行纳入规模以上屠宰企业资质评定的范围,屠宰企业经营管理及产品追溯信息化系统的建设已经逐渐成为现代化屠宰生产加工企业建设的必备内容。

二、屠宰企业的困难

1)、进厂生猪人为填写数据和信息不标准、不准确,造成结算易常出问题。

2)、不便实时反映库存;

3)、不能实时反映库耗;

4)、影响成本核算,不便准确反映经营结果;

5)、纸质记录速度慢、误差大、

6)、数据不及时、不方便查询;

7)、集团数据对比分析没有基础数据来源,信息收集困难 

三、*****食品有限公司目前现状

本屠宰厂是*****公司投资2.2亿新建 “四星”级的现代化工厂,工厂设计年生猪屠宰200万头,日均屠宰生产量6000头,在国内属于大型屠宰厂。工厂目前在很多地方布置有信息点,但不完备,工厂目前使用的计量电子秤分别是英展(地磅和台秤)、托利多(轨道衡)。根据我们调研发现目前*****存在如下问题

l 屠宰采购、生产、仓储环节管理手段还停留在全手工状态

l 在发货时录入K3系统,在发货前所有计划、业务动作、过程控制均为手工及人员经验操作、过程数据基本没有自动化数据采集。

l 屠宰过程数据不准确(手工记数)、及时性差,统计、计数、核算未由财务部进行,数据真实性把控力度不够、数据未及时有效传递,无法数据共享。

l 交接环节手动控制、库内串货现像严重,无法准确有效把控,屠宰生产线串猪现像时有发生。

l 财务核算粗略,对公司决策支持不够。全系列产品均采用价值分配法核算,无法准确核算及分析采购、生产、仓储环节实际营运情况。未对销售及生产产品结构预测及科学化产品结构调整做出事前分析、事中控制及事后准确分析。

l 生产过程控制中对于费用类指标管控较好,但是对生产指标如屠宰出品率,预冷损耗率、分割出品率,分割低价值产品产出率等一系列关系企业实际经营绩效的重要指标缺乏实时动态监控和分析。

l 在集团层面缺乏对标管理平台,对分公司经营指标和运营动态还处理传统的计划上报-计划审定-考核执行的模式。对分公司经营指标缺少动态管理。

四、针对*****突出的解决方案

l 称量环节:改变为系统自动称量

l 定级环节:系统自动定级,人工辅助,系统记录产品定级过程,可供事后复查和监督。

l 血码管理:引入血码管理并与系统联网

l 入库管理:自动称量并入库。

l 损耗管理:自动

l 线上称量环节:建议增加白条入库称量设备。

l 白脏称重环节: 为了加强屠宰毛白条及净白条出品率管理,加强生猪采购环节评价及分析,建议增加 

二、屠宰加工子系统详细方案

本方案依据*****目前的采购、生产、库房、销售、财务等的情况结合广宇软件特点而形成。通过技术创新,将计算机编程和条码技术进行集成,实现软、硬件对屠宰动态信息进行智能控制,达到公司对屠宰信息进行动态监控和分析的要求,完成了从采购、生产、库房、销售各个环节的管理,最终完成产品追溯和财务分析,达到了计数的准确化,流转的可追溯化、结算的快速化,使各个称重点重量、大屏幕LED显示完全可控,分割品生产监控,盘点方便快速。

1、系统开发环境

系统是C/S架构的三层应用系统,通过Wbservices给其它系统提供接口,兼顾WAP、MAS平台应用系统。

2、系统运用环境

1)服务器平台Windows 2000 Server、Windows 2003 Server

2)客户端Windows 2000、XP、Win7

3、硬件设备

1)激光探测仪

2)条码打印机器、条码扫描枪

3)服务器、触摸屏幕、普通电脑、打印机(可自行采购)

4)各个动态和静态称、LED显示屏幕(自行采购称,LED可采购广宇LED屏幕)

5)条码标签装订机

4、系统网络结构

本系统采用分布式系统设计,在车间和机房都安装数据库,网络中断,完全不影响车间系统的运行。由于屠宰加工的特殊性,一般屠宰车间环境恶劣,网络出问题的可能性很大,而车间生产不可中断,因此对网络要求很高,采用分布式系统设计完美解决集中式数据设计会造成网络中断而影响生产的问题。我们一般在白条打级、白条修整、生猪采购等站点安装独立数据库,通过数据库的发布实现和主服务器数据同步。

系统的网络简图如下:

 nnnn.png

软件功能点流程图

 aaa.png

5系统功能介绍

        本子系统分系统设置、基础数据、采购管理、销售管理、生产管理、仓储管理,动态运营等模块。

1)、系统设置

        功能主要包括系统相关参数设定及与电子称、LED、PC等硬件的连接参数及运行参数设定。

主要功能:角色管理、用户管理、模块管理、按钮管理、系统更新、打级设置、系统设置、数据结转、日志查询、接口设置。

10

系统管理

1001

角色管理

1002

用户管理

1003

模块管理

1004

按钮管理

1005

系统更新

1006

打级设置

1007

系统设置

1008

数据结转

1009

日志查询

1010

接口设置

1011

白条库轨道设置

 

2)、基础数据

        功能主要包括企业ERP相关基础资料的录入、修改、删除和导入,本部分部分数据(物料、人员、供应商、客户等)目前采取读取K3基本数据的方式,系统将不在直接做这部分数据的维护。

        主要功能:竞争对手维护、采购竞争对手维护、销售竞争对手录入等

11

基础资料

1101

部门管理

1102

员工管理

1103

物料管理

1104

供应商管理

1105

竞争对手维护

110501

采购竞争对手维护

110502

销售竞争对手录入

1106

客户管理

1107

分割品物料管理

1108

库房管理

1109

检验检疫员设置

 

3)、采购管理

        采购管理分为三个层次的管理应用。

        A、采购业务管理:其中包括生猪收购,价格管理、采购结算、生成银行扣款单等公司采购部层面相关业务的解决方案。

        B、采购业务员管理:包括业务采购计划,工作日程汇报以及竞争对手信息汇报等业务员相关业务的解决方案

        C、采购数据查询,主要是从采购执行计划及完成情况,结算结果,成本分析等方面全方位体现公司采购相关数据,及集团下同口径数据对比分析。

        下面是几个主要功能模块的介绍:

        3.1、生猪收购

        本模块主要完成“饲养车间生猪数字管理”,工作人员录入供应商信息、检疫信息和血码,然后通过电子称自动称重,在完成分圈等工作。

        生猪收购点需要的硬件设备如下:

        1、 普通计算机(需要加1块串口卡):完成数据录入、数据采集。

        2、 普通A4针式票据打印机:打印《生猪过磅单》

        3、 普通条码打印机:打印《圈舍标识》,建议对每个圈安装个小板子,条码打印机打印出来的《圈舍标识》直接贴在上面。

        4、 LED大屏幕:考虑到具体多方面原因,不允许操作人员直接读取仪表上的数据,所有数据都以电脑采集数据为准(数据可控),供应商可以通过LED来查看实时称重数据,工作人员可以通过电脑显示屏看实时数据。

        5、 血码章:用于对每头猪打印上血码(按照榜单来),然后将血码录入系统,这样就会避免在生产过程中混淆白条。

        3.2、屠宰计划编制:对需要屠宰的生猪编制屠宰计划,打印屠宰计划编制。

        3.3、价格管理体系:本模块主要完成区域价格编制、区域价格维护、区域价格审核等白条结算价格,为白条结算做基础工作。

        3.4、急宰登记:当生猪由于某种情况,需要不按照平时的宰杀流程而急宰,这个模块主要完成生猪急宰登记和急宰入库。

        3.5、白条结算

                本模块涉及很多子模块,是屠宰加工的一个重要模块,他实现了将生猪收购、打级、副产品、送宰指定、扣减、价格体系、供应商等数据,实现供应商白条结算,并按照银行要求格式生成转款数据、公司财务完成付款登记。本模块实现按照收购磅码单结算,只要某笔单据宰杀完成就能进行结算,主要流程如下:

qqqq.png 

            整个采购管理模块共分三个子模块二十六个功能,通过数据实时传递,全方位地对屠宰企业的采购业务进行业务操作,数据分析,集团层面数据对标。

            主要功能:

12

采购管理

1201

采购业务

120101

生猪收购

120102

结算价格管理

12010201

白条价格设置

12010202

白条结算价格审核

12010203

白条价格分析

120103

毛猪结算

120104

屠宰计划

120105

急宰登记

120106

采购审核

120107

生猪结算

120108

付款登记

120109

白条结算发布

120110

采购计划下达

120111

白条结算提前预付款

120112

预付款查询

120113

生猪检疫合格证管理

1202

采购数据查询

120201

生猪收购查询

120202

生猪库存

120203

白条结算查询

120204

白条结算明细

120205

成本统计

120206

市场情况反馈查询

120207

竞争对手查询

120208

猪场信息档案查询

120209

采购计划执行查询

1203

采购员业务管理

120301

业务处理

12030101

市场情况反馈

12030102

采购计划执行

12030103

竟争对手信息

12030104

猪场信息档案

120302

数据查询

12030201

采购计划执行查询

12030202

生猪收购查询

12030203

送宰登记查询

12030204

白条结算查询

4)、销售管理

        销售管理共分四个层面:

        A、销售定单管理及销售开票管理:实现订单报货,对发货的产品统一开票。

        B、销售分析基础数据管理,主要是对销售过程中的成本、价格客户资金进行全方位的管理。

        C、销售员管理,主要是销售人员对市场情况汇报及业务对自身客户应收应付款分析及回款管理。

        D、数据分析,在每天销售业务完成后对当天实际销售情况按每个区域、业务员、单品等项目对销售所有业务进行全方位的量、本、利分析,保证对公司每单销售业务进行实时数据跟踪和反映。

主要功能:

13

销售管理

1301

销售基础数据

130101

销售明细数据导入

130102

销售成本数据导入

130103

销售日报导入

130104

收款单数据导入

130105

区域指导价格导入

130106

收款单

130107

销售开票

1302

销售订单管理

130201

销售报货

130202

报货查询

1303

销售员管理

130301

销售员业务

13030101

销售员工作汇报

13030102

竞争对手信息反馈

13030103

当前库存统计

13030104

销售员销售统计

130302

数据查询

13030201

销售员报货查询

1304

数据查询

130401

销售员工作汇报查询

130402

竞争对手明细查询

130403

销售量对比分析

130404

销售价格对比分析

130405

销售统计

130406

客户对账明细表

130407

客户对账汇总表

130408

销售成本日报表

130409

区域指导价格查询

130410

销售开票查询

 

5)、生产管理

        生产管理是屠宰加工的核心单元,包括两个方向,三个子模块,二十四项功能,对屠宰、分割加工进行全方位的管理。

        A、屠宰管理:包括白条自动称重,触摸一键式级别录入,条码入库管理等十项功能,实现对屠宰生产过程的全方位操作。

        B、分割管理:包括分割品包装自动称重,分割品产品条码管理入库管理等多项功能,实现对分割生产过程的操作。

        C、数据查询分析:对生产模块产生的数据进行分析。

        下面是几个主要功能模块的介绍:

        5.1、白条打级:读取仪表数据,分析计算出稳定值,然后依据重量自动分级:

        生猪收购点需要的硬件设备如下:

        1、 普通计算机主机(需要加2块串口卡):完成数据录入、数据采集。

        2、 19寸触摸屏:本触摸屏是广宇公司和液晶显示器厂家合作生产的用于普通电脑的触摸显示屏,操作人员直接在屏幕上选择级别、工艺、状态等数据进行操作。

        3、 普通条码打印机:打印《产品合格证》(追溯条码、生产级别、生产日期、存放轨道、检验员等)。

        4、 探测仪:广宇自主研发用于轨道自动称重计数。

        5、 条码装订器:用于给白条打孔并将打印的合格证挂上。

        6、 摄像头:对打级称重的白条拍照,并存档。

        7、 LED屏幕:显示白条血码、工艺、状态、级别、重量,方便供应商远距离查看和公司监督。

        5.2、修整称重:最修整后的白条称重,进行入库,便于计算库耗和分析。

        5.3、白脏称重分别称出每头白条的白脏数据,便于分析、结算、承包核算。

        5.4、副产品称重:对生产车间生产的副产品进行称重,记录称重数据,本称重采取一车一称,便于分析、结算、承包核算。

        5.5、副产品包装:对副产品每个包装件进行称重,称重完成后打印产品《合格证》(产地、品名、重量、数量、生产日期、检验等),包装员将条码贴到包装箱子上。

        5.6、副产品入库:对已经完成包装的副产品,按车对副产品做入库处理,未包装的副产品通过副产品称重完成入库,工作流程如下:

ccccasdfasd.png 

        5.7、分割产品包装:对分割产品进行包装,并打印《产品合格证》,程序流程如下所示:

ggggg.png 

        5.8、分割品入库:对已经完成包装的分割产品,按车对分割产品做入库处理,未包装的副产品通过分割产品称重完成入库,工作流程如下:

 eeee.png

            主要功能:

            标准件直接条码打印

14

生产管理

1401

屠宰业务

140101

量膘打级

140102

白条修整

140103

白条打膘

140104

引入白条打级数据

140105

急宰入库

140106

维护入库数据

140107

编辑修整数据

140108

送宰登记

140109

头皮登记

140110

白条扣减

1402

分割管理

140201

基础数据维护

14020101

推车维护

14020102

垫板维护

14020103

包装物维护

14020104

重量校正

14020105

条码制作

140202

分割业务

14020201

分割入库

1402020101

冻品入库

1402020102

鲜品入库

14020202

分割出库

1402020201

冻品出库

1402020202

鲜品出库

140203

分割条码打印

140204

产品出入扫描

140205


140206

分割品发货

140207

普通称重

1403

生产数据查询

140301

冻品入库查询

140302

鲜品入库查询

140303

白条入库查询

140304

白条修整查询

140305

送宰登记查询

140306

白脏称重查询

140307

分割条码打印查询

140308

分割入库查询

140309

分割发货查询

140310

分割产销存报表

140311

白条产销存查询

140312

普通称重查询

 

6)、仓储管理

        仓储管理共分五个方面:

        A、 发货管理,通过对白条发货,分割发货,冻副产品及分割品发货,实现对发出货物的自动称重。

        B、 盘点处理,通过基于条码技术下对白条库存的快速盘点保证盘点的快速准确,理论上可以达到1000头白条完全盘点及盘点比对30分钟内完成。

        C、 周转盒管理,周转盒是屠宰企业物资管理的一个难点,涉及押金,收发,报表等一系列繁琐的工作,周转盒管理模块将完美解决此问题。

        D、 进出复磅,通过对大磅和公司发货系统的联网,保证复磅的准确和快捷,发现问题系统将及时报警处理,彻底解决人工核对发货单据造成的纰漏。

        E、 仓储报表子系统。仓库报表均由系统自动生成,所有报表均为公司实时数据,通过10-12张自动仓储动态报表,可以全面反映公司整体库存情况。所有报表均不需要人工操作,可以节约大量人力物力。

        下面是几个主要功能模块的介绍:

        6.1、白条发货:完成白条出库销售以及出库分割,软件主要流程如下:

dddd.png 

本站点需要的硬件设备如下:

1、 普通计算机(加2张串口卡):用于数据采集和单据录入

2、 平推打印机:用户发货单打印

3、 LED大屏幕:用于发货称重数据显示

4、 扫描枪:用于条码数据扫描

                6.2、销售报货:客户对需要的产品进行报货,销售部门根据库存产品录入产品销售计划,客户到仓库领取货物。

                6.3、鲜品发货:多窗口实现鲜品发货,主要鲜品销售流程如下:

cccc.png 

本站点需要的硬件设备如下:

1、 普通计算机(加2张串口卡):用于数据采集和单据录入

2、 平推打印机:用户发货单打印

3、 LED大屏幕:用于发货称重数据显示

4、 扫描枪:用于条码数据扫描

            6.4、冻品发货:实现冻品发货管理

            6.5、车辆出门复磅:实现客户车辆进入厂的时间称重,出厂的时间根据销售数据进行复磅处理,当复磅数据正确时操作员在销售单据上盖章确认车辆出厂,其业务程序流程如下(其中各个发货为业务逻辑,在相关模块体现):

 bbbb.png

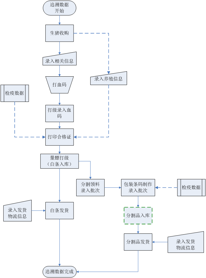
        6.6、产品追溯:根据产品生产各个环节生成产品追溯报表和追溯WebServices接口(用户可以定制),提供给其他程序来交换数据,产品追溯流程如下图所示

 zzzzzzzzzzz.png

比如查询追溯码“100000000201012190378”

得到以下信息

进厂单据号:SZ01201012180030

养殖基地(场):千喜鹤宽城(吉林)

养殖时间:2010-07-08

喂养饲料:110.000.015

防疫情况:111.004.026

出栏时间:2010-12-16

生猪供应商编号:1.22.01.22.003

生猪产地:市辖区(吉林)

官方检疫票号:048922893

生猪检验员:0042

生猪检疫状态:合格

生猪进厂日期:2010-12-18

生产流水号:BT201012190378

生产日期:2010-12-19

生产工艺:烫褪

生产状态:净白条

炭疽检验:合格

炭疽检验员编号:0610

皮肤检验:合格

皮肤检验员编号:0611

白脏检验:合格

白脏检验编员号:0608

寄生虫检验:合格

寄生虫检验员编号:0609

红脏检验:合格

红脏检验员编号:0387

胴体检验:合格

胴体检验员编号:0606

白条复检:合格

白条复检员编号:0607

发货单据号:CK082010121900041

一级客户:大西菜行闫慧

二级客户:20

运输单位:大西菜行闫慧

产品名称:四级

发货重量:80.6

发货时间:2010-12-19

发货检疫:合格

发货检验员编号:0604

主要功能

15

仓储管理

1501

产品发货

150101

白条出库

150102

白条出库审核

150103

冻品发货

150104

鲜品发货

1502

盘点处理

150201

冻品盘点

150202

鲜品盘点

150203

白条盘点

1503

周转盒管理

150301

周转盒押金管理

150302

周转盒出库

150303

周转盒入库

150304

周转盒统计

150305

周转盒明细查询

1504

进出复磅

150401

汽车复磅

150402

复磅查询

1505

仓库报表

150501

白条出库查询

150502

白条损耗统计

150503

白条库存统计

150504

鲜品发货查询

150505

鲜品出入

150506

鲜品库存

150507

冻品发货查询

150508

冻品出入

150509

冻品库存

150510

产品追溯

7)财务管理

    1.客户收款单

    这里是对单个客户预付款的录入界面,录入后专人进行审核。

    2.客户对账明细

    选择单一客户对时间段内客户的款项使用状况进行查询。

    3.客户对账汇总表

    针对某个时间段内的符合条件的客户的资金状况查询。

    4、销售开票:对发货和承包产品开票。

    5、成本管理

通过采购数据、生产数据、销售数据、开票数据对白条、副产品、分割品实现成本管理。

            5.1、副产品价格管理

            每天按照副产品名称维护副产品价格。

5.2、 副产品成本核算

                    计算出副产品的成本。

5.3、 白条状态对接表

                    将白条状态和副产品对接,设置某个状态的白条是否已经好含某些副产品,如带四蹄带板油白条就包含了:鲜板油、鲜带筋蹄等副产品。

5.4、 产销级别对应表

                            本功能将白条的生产级别、状态、工艺与销售的产品名称对应设置,这样就能将具体的生产白条和销售白条对应,用于后面面产销计算。

5.5、 白条成本表

                        本表根据前面的设置、生产计算白条的成本、单位成本、含税单位成本等信息

5.6、 分割产品价格表

                         每天维护每个产品当天的价格表,如果没有维护取最近单价进行核算

5.7、 分割产品领用表

                          计算出分割每天的领料成本

5.8、 分割成本计算表

                            计算出每个单品的成本

5.9、 成本模块财务接口(可能分白条和分割接口)

                            能按照用户的要求输出用友、金蝶财务软件格式的成本数据

 

主要功能

17

财务管理

1701

收款单

1702

客户对账明细

1703

客户对账汇总表

1704

成本管理

170401

副产品价格管理

170402

副产品成本核算

170403

白条状态对接表

170404

产销级别对应表

170405

白条成本表

170406

分割产品价格表

170407

分割产品领用表

170408

分割成本计算表

170409

成本模块财务接口

17040901

白条接口

17040901

分割接口

8)公司动态

1 公司动态录入

公司的通知,公告的发布界面。

2 公司动态

查询公司通知,公告的界面。

3 文档管理

支持公司的文档上下传。

主要功能

18

公司动态

1801

公司动态录入

1802

公司动态

1803

文档管理


9)动物检疫票号管理

    支持EXL表格的导入,可以单个或多个导入,支持每天多次导入,按照中华人民共和国农业部统一格式的模板格式套打动物检疫合格证明产品A、动物检疫合格证明产品B,方便客户管理检疫票据。 

6、系统费用

7.1、硬件设备

序号

名称

单价

数量

备注

产地

1

触摸屏

2000


打级、产品包装

广宇











































7、经济效益

        1)、系统的开发和使用可以大大提高各部门工作效率,节约人力成本,仅生猪屠宰 “计数-录入-结算”一个流程和以前手工操作相比就节约员工4人/分公司,三层软件全部正常使用后公司至少可以在统计、计数,库管,财务等环节节约岗位超过15个/每个分公司,每个公司可以节约相当的人力资源成本。

        2)、对生产流程进行了较完备的过程控制,所有计量、计重环节均采用系统自动计量、计数,避免手工操作误差给公司经营带来的潜在损失,同时也规避了管理中存在不足,经济效益明显。

        3)、建立完整采购、销售、生产、财务分析基础数据完整数据库,通过对现在集团内所有公司的汇总分析,使集团了解每一家公司所属市场的采购,销售两端市场信息及时分析和历史数据分析成为了现实。

        4)、集团层面、公司层面经营相关信息的快速反应,结算数据,经营数据,在生产完成后12小时内可以全面体现,为经营决策支持提供良好的决策依据。系统对管理提供的相关依据,在经营管理中将会体现在较大的经济效益。

8、系统特点

            系统采用Midas技术开发C/S架构的三层应用系统,数据库服务和应用服务器分离,确保数据库系统数据安全;采用分布式和公文包数据库设计确保车间系统在网络不稳定时间能在单机状态下正常使用,当网络恢复自动上传或人工拷贝上传;远程传输采用Intrcpt技术实现加密压缩传输,保证数据在局域网和广域网下安全传输,使网络质量不高的情况下达到满意的效果;系统采用网络环境识别技术和U宝加密技术对访问用户采取权限及用户验证等相应控制,保证数据和系统的访问安全。

9、创新特点

        1)、集成计算机编程及条码技术,有效实现屠宰信息动态监控、产品追溯和动态分析的要求,解决行业内对屠宰物流及信息监管的难题。

        2)、国内行业领先的屠宰信息动态监控技术,还可在禽类等其他屠宰行业推广使用。

        3)、提高屠宰信息的及时性和准确率,降低人力成本、提升劳动效率,极大地满足了对屠宰信息动态监管的管理需求。

10、软件特点介绍

1)、技术特点

        采用生产条码,实现产品软件监控产品全线生命周期,使公司销售部门能够通过生产条码掌握产品当前状态,对总公司库存、分公司库存、物流、门市库存进行实时监控,各个门市实现网上调拨,加快公司产品流转,降低产品库存,降低经营和销售风险;客户可以通过产品ID对产品进行追溯,提高产品附加值和公司形象,同时有效防止对公司产品的仿制、假冒,让客户和社会帮助公司打假,巩固公司销售渠道,创造良好的产品销售环境。

2)、软件功能特点

        A、设计特点:软件采用C/S方式的三层设计模式,实现外网和内网有机结合

        B、实现特点:在产品流转和销售环境采用PDA方式进行快捷方便的查询和业务处理,减少因手工进行业务操作的不及时和不方便的因素,PDA软件带数据库,实现在无网络的情况下也能处理业务,一旦网络连通数据将自动和总公司数据库进行数据交换。

        C、使用特点:软件采用广宇公司研发的三层连接组件,使公司销售团队在任何只要有网络的环境都能及时的进行业务处理,实现远程办公,集中管理的模式;采用PDA和PC机器相结合的方式处理业务逻辑,使车间产品ID身份录入、包装、物流、盘点、发货、收货、调拨、销售等环节操作方便、快捷,提高工作效率。

        D、信息共享:采用广宇公司远程连接组件实现整个业务在一个虚拟的网络实现,网络的各个节点的处理数据实时和公司数据库交换数据,各个业务口能第一时间准确的处理相关的业务逻辑,提高公司业务处理的能力。

3)、软件安全特点

        软件采用广宇公司研发的连接组件实现各个站点的连接,传输数据采用压缩加密方式,达到数据安全稳定的传输,保证了公司经营数据的安全,软件远程访问采用U宝和密码共用方式实现用户远程访问控制,有效解决密码盗用而造成信息失密经营数据的安全。  


公司OA系统的评分规则设定与绩效考核设定
HR系统选型过程中的常见误区与思考
专访金和软件董事长栾润峰
基于CPC平台的PDM系统研究
应用ASP技术实现对PDM软件的客户化开发
以系统管理打造中小企业发展平台
重庆名易OA软件定义相关流程
OA办公自动化系统都可轻轻松松定制出适合企业实情的管理系统
信息发布:名易软件http://www.myidp.net