主页
软件技术
返回
连锁餐饮管理系统解决方案

        1 前言

        被称之为“百业之王”的餐饮娱乐业在近几年呈现高速发展的趋势。且随着餐饮娱乐业企业规模的不断增强,连锁经营也显示出强劲的势头,相互的竞争也日益加剧。传统的经营管理模式已经不能满足餐饮娱乐业高速发展的需求。先进的信息化的管理势在必行。如何提高企业自身的经营管理水平,尽可能减少经营风险,提高企业的竞争力,在瞬息万变的市场竞争中立于不败之地,除了要有一个优秀的经营团队,企业是否建立了一套适合自身特点的全方位管理的商业应用软件,也是企业成功的一个重要因素。

        根据在数据库应用开发和餐饮业顾问方面的多年经验,建议餐饮管理信息系统解决方案,以满足当前餐饮业数字化的需求。针对餐饮业对于系统的功能、安全性和灵活性的要求,提出基于本公司成熟产品《连锁餐饮管理系统》版本的解决方案。

        2 行业经验

        我们有丰富的行业背景

        从事计算机管理系统的开发已近十多年,从1994年开始和IBM合作开发沃尔玛中国地区POS系统和对该系统进行本地化的工作,该系统从1995年开始陆续在中国地区的分店开始使用,从中取得全球零售业巨头的先进管理经验和技术,同时也开始开发餐饮娱乐业系统的产品和解决方案开发,并取得了成功,在这过程中,积累了丰富的行业经验。

        我们有非常成熟和优秀的产品

        结合全球先进管理经验和国内的实际情况,成功地开发出适合中国国情的管理系统产品:《餐饮管理系统》,该产品结合了先进的技术和丰富的行业经验,具有丰富的功能、完善的业务处理流程、适合不同业态需要、灵活的自定义功能、很好的兼容性(支持windows 9X/Me/2000/NT/XP等操作系统)等特点,该产品凭着友好的界面、方便的使用、强大的功能、较好的安全性和稳定性,得到广大用户的好评和喜爱,在同行业中遥遥领先。

        该产品经过全国各地不同类型客户的广泛使用,同时我们也结合目前国外的先进管理经验和国内不同客户的需求,不断地完善和升级我们的产品,目前最新的版本为7.0,该版本具有更加丰富的业务功能、支持不同的业态模式。

        我们有强大的技术力量

        有一支强大、稳定的开发队伍专门负责产品和有关项目的开发、测试和技术支持,该开发队伍中,开发人员都具有丰富的数据库系统开发和应用、Internet开发、网络等技术和行业经验。同时有着丰富行业经验,我们可以提供该领域的行业顾问、系统集成开发和实施、技术支持等服务,同时我们可以根据客户的需求,给客户提供全面的行业解决方案。

        我们有成功的案例

        在实现方面有大量成功案例可供参考,产品遍及全国各地、涉及不同的行业(目前全国有300多个分销商和技术支持中心,超过30000多个最终用户)

        3 需求和目标

        根据对当前餐饮行业的掌握,总结出的需求主要在以下几方面的管理要求和目标:

        3.1 形象需求

        现在的餐饮行业在出品方面的很有特色,环境幽雅,装修豪华,但在很多方面还在使用手工方式来处理问题运作问题。对当前情况来说,给客人的感觉是,“出品优秀,服务一流,但在运作方面‘现代感’略显不足”。目前全国大多一流餐饮企业都使用电脑来处理运作及管理问题,对于餐饮企业,跟上时代,使用电脑,提升形象已是必须。

        3.2 安全需求

        手工餐饮管理方式在安全方面有很多不可避免的问题:

        •在收银方面手工计算容易产生错漏,轻则百元,重则千计,漏计企业损失事小,错计客人投诉事大,一旦发生错漏,易造成客人误解,企业声誉将受到很大影响,客人流失在所难免。

        •厨房与前台合作出现漏洞,经常发生客人点菜过后,许久不上菜,客人投诉,甚至退单。就其原因,前台忘记将客人点菜单送交厨房,厨房根本不知道,造成漏单。

        •收银员串通,不知会顾客,暗中打折,私拿折扣款。

        •收银员私拿票据无记录。

        •由于餐券不设找赎,需防止收银员以餐卷的找赎余额充现金的情况发生。

        •会员卡没有记录,根本无法使用。

        •原料成本没法控制,只能根据每天相关人员盘点再能得到原料损耗情况,但这种数据本身就带有很大水份,不准确。

        •时时原料数量的查看,有可能在客人点菜过后,才出库房查询原料库存量,并得出原料以没有,只好通知顾客退菜,这给顾客造成非常不好的影响,使客人抱怨,并且有可能直接造成客人流失。

        •物料配送不能借助网络资料共享。只能通过其它手段来实现物料配送,造成双方数据不能完全统一,最后出现误会。

        •由于没有实现网络资源共享,单店各自经营,造成会员不能连锁共用,使得不能大量留住稳定客源。

        •总部不能完整的知道各分店营业情况,那怕得到数据也是通过分店整理出来的,这样容易造成分店舞弊。

        •基础资料不能实现集中管理,必须各个分店独立管理,以至浪费大量人力物力,并且还不能达到预期效果。

        3.3 服务需求

        提高点菜收银结账时间,客人在点菜付款时的耐心是很有限的,此时也最易产生投诉,收款时怕发生错漏,收银员都较为谨慎,特别是出品较多的大单,核定价格速度更是缓慢。时间过长,已成为某些客人退单改由其它餐饮消费的理由。提高点菜结账速度,改善服务,这是重要一环。

        提高楼面的服务质量,只有及时了解决客人的就餐时间,上菜情况才能更好的在不同的状态下为客人做好服务

        提高厨部的服务质量,客人催单是再普通不过的事了,原因是厨部没有做好合理的出品顺序及时间安排所置,如果厨部能预先知道各出品的下单时间,就可避免某出品被长时间搁置不出,减少客人催单情况。

        3.4 管理需求

        事后管理不能满足管理要求。一般餐饮目前手工管理理想的状态是:每日能在收市后一小时内,统计生成出当日的营业日报。月底生成简单的统计分析报表。企业的经营决策常常得不到数据的及时支持。

        管理方面人手不足:手工管理在某些方面常常心有余而力不足,如做好时段客流分析,就能合理安排不同时段的人力资源,做好‘出品成本核算’,就能合理安排菜式品种,做到利润最优,做好‘出品销售排行’就能及时了解客人的喜好,并做好备料等工作….等等,这些道理企业都很清楚,但人力不够,基本无法完成,即使偶而为之,也不能常久,当企业在进行经营决策时得不到数据的有效支持。

        4 系统特色介绍

        1、数据集中维护:

        数据由总部统一维护,这样可以严格控制销售市场,使品牌效益最大化,也使市场统一管理。

        2、连锁物料配送:

        由总部统一管理物料,从而严格控制菜品成本。总部统一采购,统一调拨。

        3、总部物料加工:

        总部通过中央厨房将原料加工成半成品,最后将半成品配送到各分店。

        4、连锁会员集中管理:

        5、厨打方案

        厨房打印已经成为一个酒楼餐饮管理系统必不可少的部分,厨打的好坏已经成为判断餐饮管理系统的标准之一。因为厨打主要是实现分单自动化,完全代替人工传单,于是出现避免漏单、打印有条理、分单清晰准确等优点,这也成为软件厨打控制的唯一标准。

        餐饮管理系统借助先进的管理思想,按照单个菜品加上餐桌区域设置厨房打印,完全实现了分单明确,不错乱打印,并且可以由用户设置选择打印格式,“一菜一单”、“一大类一单”、“一小类一单”、“一桌一单”;还可以设置相关打印内容,灵活多变,完全实现客户的需求。

        打印工具也借助当前先进的硬件设备,实现远程打印,根据不同的选择,可以分为两种,一种为打印服务器方案,借助打印服务器,通过网线与酒楼局域网连接,实现远程打印,此方案实现起来,方便简单,但不能通过PC机时时监控到打印机状态,打印任务的执行是借助操作系统,所以餐饮管理只能判断打印任务是否发送成功,而不能判断是否打印成功。另一种是端口打印方案,指定局域网内一台PC做为监控机,然后借助多串口卡与串口延长器,通过监控PC向指定串口打印发送打印任务,此方案实现成本相对偏高,而且只能使用串口打印机,但能通过PC机时时监控到打印机的状态,并能及时通知操作员,由操作员给予调试,最大可能的少漏单。

        6、原料管理

        如何能有效的实现酒楼原料管理,已经成为现代化酒楼管理必不可少的部分。管理系统根据10多年进销存管理经验,完全实现酒楼原料管理。它作为餐饮系统的一部分,既可以单独进行仓库管理,也可以和营业管理联合起来实现原料控制管理。

        7、成本核算

        当原料管理与营业管理联合起来后,管理系统将自动核算出原料的消耗情况,并且相应的算出成本。菜品的理论成本核算分为主料与辅料之分,主料是根据配置数量直接扣减库存,并能通过移动加权平均自动核算原料成本价,最后算出成本,辅料则是由用户指定成本金额,算出成本,但库存扣减则是由定期盘点核算出。

        根据系统运行与现实操作的不同,提供成本报表有理论与实际之分。理论成本是完全按照用户菜品原料配置核算出;实际成本则是按照物料实际损耗来核算成本,其中包含营业损耗、物料报损、盘点损益等物料损耗情况。

        8、支持触摸屏、PDA(或点菜宝)

        随着现代化酒楼餐饮业的发展,越来越多的客户为了提升自已的形象与操作速度,可能选择触摸屏或手持设备。餐饮管理系统基于此,特意开发了实用于触摸屏以及手持设备前台营业软件。触摸屏基本上没有品牌限制,市场流行的触摸屏都可用;手持设备分为PDA与点菜宝,PDA为市场通用产品,用户可以自主购买,但PDA点菜软件由自主开发,而点菜宝则是由软件OEM,软硬件捆绑销售,但接口程序由软件自主开发。

        9、支持多种外接设备

        餐饮管理系统根据多年来客户需求,支持的外接设备也多样化,其中包括小票打印机、顾客显示器、会员卡读写器、钱箱等。小票打印机将支持市场主流的小票打印机,如Epson系列、北洋系列、SPRT系列、IBM系列等;顾客显示器也是支持市场主流产品,如隆宝系列、VFD系列、IBM系列等;会员卡读写器则支持明华澳汉RD系列、RF35、诚希RD系列、北京日科创想IT卡等;钱箱支持所有由指令控制的钱箱系列、以及海信钱箱系列等。

        10、会员管理

        酒楼为了开拓自己的市场,发展会员成为首选,所以为了迎合这种现状,餐饮软件专门开发出会员管理功能作为软件产品的一部分。不仅实现了会员资料的管理,而且为会员设置相应的优惠方案,并且为挂账会员实现财务结算功能,以及会员消费情况报表等。

        会员消费时,可以按照酒楼设置优惠方案给予的相应优惠;除了优惠以外会员还可在酒楼先充值,付款时使用充值金额付款,充值时酒楼也可以根据自身情况给予优惠,如充值100,实收现金95,或付款还现的方式给予优惠,如充值付款100,还现5%,那么实际付款只有95;会员还可以设定为可签单(挂账)会员,按期结算,即消费结账时先签单,到一定时期后,酒楼与会员进行结算。

        会员消费可能存在积分,当客人积分达到一定程度后,酒楼可推广一些其它的优惠手段,如用积分换礼品,或其它优惠等。

        11、点菜形式多样化

        为了使操作简便,餐饮系统提供了两种点菜界面,即数据界面与图形界面,客户可以根据自己的操作习惯选择相应的操作界面。其中数据界面主要适用于那些使用键盘操作系统的客户,客户将菜品代码或助记码记牢,点菜时只需录入代码或助记码,即可快速实现点菜工作,而且系统还提供模拟匹配的功能,操作员只需录入代码或助记码的前面字符,系统将自动找到与之相同的第一道菜,大大缩减操作员的录入工作;图形界面主要是提供给习惯使用鼠标的客户,操作员使用鼠标根据大类与小类快速的找到需要消费的菜品。

        12、合理套菜管理

        套菜也是酒楼优惠促销的方式之一,通过此种方式能吸引更多的客人来消费。如何管理套菜也将是餐饮软件判断标准之一。针对此,餐饮管理系统实现灵活的套菜管理,即操作员设置一个套菜,并指明套菜明细中的菜品可由哪些菜品替换,那么在点套菜时,操作员可以根据客户的要求,灵活组成所需的套菜。

        13、支持多样的促销方法

        每个酒楼为了吸引顾客,实现多种促销方式,而餐饮管理系统支持的促方式有如下几种:(1) 菜品特价,可以到特定的某段时期内的星期几的某些时段内实行特价;例如:每周一到周四早上7:00到10:00,晚上20:00到23:30实行特价。(2) 优惠券,可以发放优惠券吸引顾客,顾客只需持优惠券来消费,所点菜品将按照对外宣传的优惠价消费;(3) 会员特价;(4) 菜品赠送,即消费菜品达一定数量后再赠送其它菜品;(5) 整场折扣方案促销,酒楼可以根据自身情况,设置某一折扣方案,全场执行。

        14、灵活的临时菜管理

        服务员经常碰到顾客所点的菜在菜谱上不存在,那么为了满足顾客需要,临时增加是必不可少的。餐饮管理系统在设置临时菜时,可以根据其原料配置自动组成临时菜,这就不用维护员在后台再补充其原料配置。

        15、多样结账方式

        餐饮系统的结账方式除了现金、充值卡、挂账是由系统指定外,其它结账方式都可由操作用户自已设置。

        16、可适用于多种业态并存的综合营业模式:

        对于酒楼来说,可能不单只进行酒楼营业模式,有可能还存在快餐部、外卖部等。餐饮系统就可以同时适用这种多业态的综合管理模式,只需用户在操作PC上进行相应设置就可以。避免客户为适用多种业态而订定多套软件,而且各软件间不能实现无缝连接的尴尬局面。

        17、多种辅功能:

        7.0为适用于当前客户管理的要求,特提供如下辅助功能,客户可以根据自身情况选择:

        (1)、来电显示监控系统:借助来电显行器,将电话号码提取,并通过系统熟客或会员资料库,自动调出客人资料,并且还调出客人历史消费。

        (2)、短信平台:借助系统客人资料库,调出满足条件的客人资料,定期给客人发短信,这样可以与客人间联络感情,稳固公司客源。

        (3)、套账功能:

        (4)、账务接口:

        5 连锁餐饮管理系统

        5.1 方案总述

        连锁餐饮企业一般都是集团化管理,采取管理模要么自己开分店,要么采用加盟店的形式管理。不管何种形式管理,都将存在如下三个机构:总部、物料配送中心、分店。所以根据其机构的分工不同,将餐饮管理系统分为三大模块:总部系统、物料配送系统、分店销售管理系统。具体分析如下:

        5.2 系统整体网络架构图:

         1.png

        根据图可以得知,此种模式除有总分店之外,还存在原料配送中心。其中每个分店是对外营业场所,只负责营业,对于物料的来源,则是向配送中心发送申领单,配送中心依据申领单发货到各分店,所有的基础数据,包括菜品资料、价格管理等都是由总部系统维护,然后由各分店下载。各分店每天营业结束后,进行日结,然后将日结数据上传至总部。总部系统根据各分店上传的数据,即时进行数据分析,为经营决策提供依据。

        配送中心负责原料采购、原料加工、物料(半成品)配送、供应商结算、分店结算、批发结算以库存管理等。

        5.3 总部系统

        1、数据维护:

        连锁餐饮的特点之一就是集中管理,菜品的资料以及其销售价格,每种菜品的原料配置,基本原料等都是由总部统一设置,每个分店只需借助网络资源从总部下载使用。这样将杜绝市场混乱现象,也使得总部统一管理,节省大量人力物力。

        2、会员管理:

        客户是企业的命脉,所以对于客户的管理也是系统必不可少的功能。总部会员管理是对整个集团的会员集中管理,每个会员都可以在所属分店实现优惠或充值付款消费。

        3、数据查询与报表分析:

        每天营业结束后,各个分店都会做一次日结操作,然后将每天营业数据上传至总部,由总部生成相关报表,为上层决策提供分析数据。

        5.3.1 配送中心流程分析

         2.png

        流程说明

        ◆分店

        1.分店管理人员根据店内存货情况,制订要货计划,填制“分店物料申请单”,经审核后上传到配送中心。

        2.配送中心定期或即时地处理分店物料申请。分店在约定时间通讯后可在本地查询到配送中心下发的“调拨单”。如未处理,相关负责人应及时咨询配送中心。

        3.分店可根据“采购情况查询报表”等功能了解一段时期内要物料配送完成率。

        4.配送中心送货到店后,分店按“调拨验收单”收货,制“入库单”。“入库单”可打印留底供查帐,也可不打印,保留电脑系统中的单据。

        ◆配送中心

        配送中心于定期或即时处理分店物料申领单,按“申领单”内容自动转货成为“分店物料调拨单”,审核后随车送货,发往分店签收。

        ◆采购部

        配送中心缺货由采购部负责补货。

        ◆财务部

        定期从电脑系统中查询各分部的配送入库并退回汇总数据,供记帐和编制绩效考核报表使用。

        在指定时间里与供应商或分店结算。

        ◆异常处理

        1.通讯滞后于工作流。总分部之间一般通过拨号网络连接,这种方案成本低廉,但实时性较差,且可能因为设备故障等原因导致拔不上网,出现货到而电脑单没到的情况。对于这种情况,可以按发货时的“调拨单”手工填制“入库单”;或是收货时手工记帐,待网络通畅后补单。

        2.发货和收货数量不符。要求收货单位先按实收数量入库,在送货人持有的“调拨单”上注明差异数。配送中心视情况作单据调整差异。如货比单多,补“调拨单”,注明原因;货比单少,查找原因,对少发货的补“入库单”,对于运输损耗或丢失补“物料损耗单”。

        5.3.2 配送中心功能分析

         3.jpg

        配送中心系统架构图

        1、原料采购管理:

        包含供应商资料的维护,以及仓库管理员根据库存分析情况,向总部提交采购计划单,然后总部相关管理员根据实际情况审核或作废采购计划单,审核过后的采购单将提交给相关供应商,由供应商按照采购单送货。

        2、库存管理:

        指配送中心内部库存的管理,包括入库管理、库位之间调拨管理、物料报损管理、物料退货管理、物料盘点等,根据相应单据,库位库存将相应改变,系统将随时可以统计出相关库存,以及物料加权平均价。

        3、原料加工管理:(也可称为中央厨房)

         4.jpg

        加工包含有半成品加工与成品加工,半成品加工是在配送中心集中加工完成,而成品加工则是在分店销售前加工完成。在加工单生成并审核后,系统将根据其配置数据自动扣减原料库存,而且成本价也是根据当前原料移动加权平均价算出。

        4、原料或半成品调拨管理:

        主要实现原料或半成品向分店调拨管理,系统将根据直营店与加盟店不同而设置相应的调拨价格。首先分店生成物料申领单,并上传至总部,由总部相关人员审核,将分店申领单自动转化为调拨单,最后由配送中心仓库管理员将原料或半成品调拨到指定分店。如果直营店将自动提取直营店的价格,如是加盟店,则提取加盟店的加盟价。

        5、原料或半成品批发管理:

        指原料或半成品直接对外客户进行批发,并生成相应批发单。

        6、结算管理: 

        包括分店结算、供应商结算以及批发客户结算管理。分店结算依据是原料或半成品调拨单,生成相应结算单,然后由财务分批收款;供应商结算依据的是入库单与退货单,生成相应结算单,由财务分批付款;批发结算将是依据批发单据生成结算单,然后由财务分批收款。

        7、总部利润分析:

        根据分店调拨、客户批发配,送中心将会产生相应的利润,系统将自动生成利润分析表。

        8、配送中心数据流程图:

         8.png

        5.4 分店系统

        5.4.1 分店系统网络架构图:

         9.png

        由架构图可知酒楼前台管理分为五大部分,第一部分是点菜部,此部分主要负责开台、点菜的工作,将客人点菜单送至厨房打印,点菜机可以是PC机、PDA、点菜宝或触摸屏;第二部分是厨部,此部分主要是菜品加工与菜品出品的工作,每个厨房都放有相应的打印机,打印点菜部传送来的点菜单,厨师依据点菜单制作相应菜品,以待出品到相应台桌;第三部门是出品部,也称为传菜品,将厨部做好的菜品传送到指定台桌,并在管理系统中将菜品的出品标志置上;第四部分是收银部,客人结账时,系统依据其消费情况自动生成结算单,客人依单付款,最后系统将结算数据送至后台生成相应的营业报表;第五部分是后台管理,此部门主要包括有基础数据的维护、菜谱管理、会员资料与结算管理、库存原料管理及菜品销售成本核算以及营业决策分析等。

        每个酒楼可以根据自身情况,可以做出相应调整,例如:第一部分中,客户可以在PDA、点菜宝、触摸屏、PC机中选择一种或多种;第二部分,收银机,可选择普通PC或触摸屏,打印机可选小票打印机或普通打印机;第三部分,客户可以完全不用,或只用部分厨打;第四部分,客户可以选,也可不选,或者使用出品打印代替出品管理;第五部分则可以合在一起。

        5.4.2 分店前台营业系统流程:

         10.png

11.png

          

        前台营业主要完成经营销售管理,主要分为接待、点菜、出品和收银管理。

        ◆接待:完成宾客的接待工作,其中包括为普通宾客和预订宾客。第一、普通宾客接待:当宾客来到酒楼后,咨客将根据宾客的要求,按照酒楼就座情况,带领宾客来到满意的餐桌;第二、预订宾客接待:预订宾客都是预先打电话或其它方式,已经确定就座餐桌,所以咨客将按照预订情况直接带宾客来到指定餐桌。餐饮管理系统的楼面导航功能可以让咨客及时了解最新的餐桌占位情况、客人的用餐状态、结账情况,使咨客能够合理带位,有效防止有台拒客, 无台留客的情况发生,使用咨客服务质量得到提升。

        ◆台位处理:包含有消台、并台、加台、转台、拆台及清台操作。消台:客人就座后有急事或其它原因,来不及消费,那么在没有消费的情况下,客人将直接离开餐厅,不用结账,而所占餐桌状态将直接变为空闲状态;加台:宾客来的人太多,一张餐桌不能坐下,那么,就需增加餐桌,账单记录在一起,这种操作系统称为加台;并台:将两台账单独立的餐桌并在一起,统一结账,称为并台;转台:客人对所座餐桌不满意,需要换另一张餐桌,这种操作为转台;拆台:餐桌完全占用的情况,将一些大的餐桌拆分成两张或多张临时餐桌;清台:客人结账后,餐桌需要打扫,在这期间,餐桌状态为待清状态,等服务将餐桌清扫完毕,将由操作员执行清台操作,将餐桌状态变为空台状态,以供下批客人开台消费。

        ◆点菜消费:客人就座完毕后,将点菜消费,一般情况下有两种点菜消费情况,一种为现场点菜消费,另一种为预订点菜消费,现场点菜消费:客人将依据菜谱单上列出菜品,点出自已将消费的菜品,服务员在旁边记录客人所点菜品;预订点菜消费:系统根据预先点菜单,自动完成点菜操作,对于席位预订,系统开台依据事先约定的席价产生点菜单,而其中点的菜的价格都为零;而普通预订点菜则是根据菜品的实际价格来核算。点菜操作包含如下功能:(1)、赠送:客人为熟客或其它原因,需要将所点菜品赠送,结算时,赠送菜品将不算为应收账款;(2)、推销员的选择,如果客人所点菜品为推销菜,那么就有可能需要指定相应的推销员;(3)、优惠券,客人手中所持当前所点菜品的优惠券,那么就需按规定给予优惠;(4)、退菜,客人由于某些原因需要退掉所菜品;(5)、挂起,客人有可能先点菜,待所有客人到齐后,然后上菜,那么这就需要暂时将所点菜单挂起;(6)、换菜,客人需要将点菜品使用其它菜品还替换,所以将使用换菜功能;(7)、删菜,客人对所点菜不满意,需要马上退掉,所以在没保存之前可能删除其点菜记录;(8)、套菜,酒楼为了促销,将几个菜组合一起捆绑销售,这就是套菜功能;(9)、临时菜,菜谱上不存在的菜,但客人又有需要,所以需要临时建立菜品资料,并给客人点菜消费。

        ◆出品:客人完成点菜操作后,系统将根据设置自动分单,打印到指定厨房,并且还在传菜间打印出品单,厨师将依单制做菜品,原则是先点先做,特殊情况除外。厨师将菜品加工完成后,菜品将送往传菜间,传菜员将根据点菜餐桌将菜品送往客人消费餐桌上,并在出品单上做上记号,表示菜品已出品。

        ◆收银:完成宾客的买单工作,其中包括对宾客的优惠折扣,收费等处理。结单时电脑打单,收银员结账的主要工作是按单收银,无需计价,节省了收银时问,由于电脑控制收银员的权限、并且改价、改单、逆结等易出问题环节每步都有相关经手人的记录,前面列举的收银问题已具有可监控性,有力地保证了收银的安全性。收银方式多样化,包含有现金、支票、挂账、信用卡、会员卡、礼券、免单、扣预付款、跑单等多种付款方式。

        报表统计:完成当前班次的收银情况统计,进行交班工作。

        5.4.3 预订管理:

         12.png

        ◆一般预订管理:

        宾客预先打电话或其它方式,要求餐厅为其预留餐位,预留的时间由系统设置而订,宾客到达的时间以实际为准。例如:有一宾客预订一餐位,并指定是中午12:30到,预留时长为30分钟,那么,操作员通过餐位状态查询,为其设置一餐位,设置时间为午市,那么当午市开始时,此预订生效,在系统设置的预留最大时间内宾客没有到达,那么该预订自动取消。在更换市别时,预订在前面市别的所有一般预订自动取消。

        ◆宴会预订: 

        预先点好菜的预订,需要提前一个市别以前预订,否则所点菜谱不一定准备到位。操作员根据宾客要求,并且依据餐位到时的状态为宾客设置好预订餐位。然后将宾客所点菜谱生成点菜单,系统依据所点菜单,自动生成采购单发往管理部门,管理部门根据采购单提示对照库房库存,决定物品采购计划。

        预订需要押金,过期不到,押金不退,从而转为收入。

        预留时间不超过一个市别,换市时自动取消。

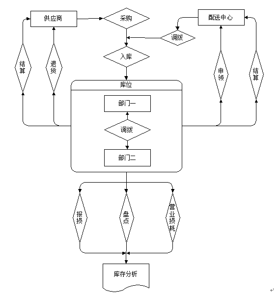
        5.4.4 库存管理:

         13.png

        ◆采购管理:各部门根据本身的需要,由采购员填写采购单,确认采购数量和有关价格后,系统将保存并自动提交有关的主管审批;主管得到审批信息后,根据情况,同意或不同意该采购单;采购员得到采购单确认信息后,将调整原来的采购单,同时将送货时间等信息输入到该单中,确认该采购单。

        ◆入库管理:分为采购入库与自购入库管理。其中采购入库需要依据采购单据,由单据上的原料入库;自购入库则不需采购单,由市场直接供货入库。

        ◆部门调拨管理:部门与部门之间物料转移,例如:部门一是库房,储存物料的地方,所以存储的物料相对较多,而厨部则存储物料较少,所以每当厨部物料不够时,将从部门一领料,这时就需填写物料调拨单,记录物料转移的凭证。

        ◆物料损耗:由于管理的需求,有些原料过期或损坏不能再用,只能报废,生成报损单。

        ◆退货:由于一些原因,需要将原料退还给相应的供应商,生成退货单。

        ◆盘点:将系统库存与实际库存对比,得到实际损益情况:

        (1)、通过系统自动生成每一次的盘点编号,在本次盘点中,将使用同一个编号进行盘点处理。

        (2)、生成盘点编号后,根据具体的需要,确定本次盘点的范围。

        (3)、进行实际的库存数量清点。

        (4)、将实际的库存数量输入系统盘点单。

        (5)、如果盘点数量有异议,可以通过复查的方式重新清点数量,然后修改盘点单。

        (6)、如果确认本次的盘点数量,可以通过审核盘点单,使本次盘点生效,同时修改库存,生成盘点报表。

        ◆供应商结算:根据指定时间段内供应商送货情况(入库单、直拔单、退货单)与以前时间的结算情况的余额,自动生成结算单,得到应付款金额,财务分批或一次性将款结清,系统并记录结算情况。

        报表查询:查询指定条件采购、入库、部门领料、物料损耗等;生成库存情况报表、库存原料报警报表、供应商结算情况报表、原料损益情况分析等报表。

        5.4.5 菜品成本核算

        14.png

        此功能由系统自动运行,根据用户配置的菜品原料配置单及原料扣除部门设置,前台菜品销售时,系统将自动生动部门原料消耗单,然后由当前库存成本价,得到菜品销售成本。

        注:原料扣除部门设置与菜品配置单如没有设置,那么系统生成的原料消耗单与菜品销售成本表都将不准确。

        5.4.6 营业分析

        为管理者提供各种业务的汇总报表及明细报表,全面而准确地反映一段时期内的经营状况,帮助决策层更直观的掌握公司宏观与微观的经营情况。为企业的管理决策提供有力的支持。

        本模块提供以下功能:

        经营日报表。包括销售日报表、收款日报表、收款员日报表、营业员日报表、营业日报表等。

        分析报表。包括时段分析报表、客座率分析报表等。

        排行榜报表。包括畅销菜品排行报表、滞销菜品排行报表等。

        异常报表:包括菜品取消报表、菜品赠送报表、让利汇总报表、让利明细报表。

        流水报表:销售流水报表、收银流水报表。

        采购综合报表:包括采购汇总报表、采购明细报表、库存汇总报表等。

        统计报表:包括类别销售报表、销售增长率分析、同期销售分析。

        本模块具有以下特点:

        能方便检索满足条件的数据。查询人员只需在同一界面中输入查询值,可方便查询满足条件的数据。

        在同一界面中,数据和图象的结合能方便查询人员直观的数据效果。

        5.4.7 系统管理

        用于设置系统参数,维护系统。本功能模块主要包括操作员管理、系统参数设置、模板设计和一些杂项功能。

        本模块提供以下功能:

        操作员管理。包括操作员信息、操作员授权、操作日志管理。

        服务费种类设置:

        餐台类型设置:每一餐台类型都有一种服务费收费种类。

        餐台资料设置:每一餐台谪属于一种餐台类型。

        权限组及权限设置:

        信用卡设置:

        币种设置:其中包括每一币种与人民币的汇率。

        退菜原因:

        厨打备注

        币别设置:

        部门设置。

        6 系统总体结构

        6.1 系统组成说明

        系统的由总部和分店两部分,对系统组成各部分详细说明如下:

        6.2 总部管理系统

        该系统运行在公司的局域网中,系统为客户/服务器模式,包括总部业务系统和销售分析系统。 业务系统采用Windows 2000/2003 Advanced Server和Microsoft SQL Server 2000,存储全公司的交易和管理数据。

        为了保证数据的可靠性,建议采用备份服务器实现数据库的备份(可采用系统镜像或联机热备份的方式)。同时,为了保证系统性能和安全性,建议总部服务器的硬件平台具有相当于性能较好的配置。

        6.3 分店销售收银系统

        分店销售业务系统中,主要有分店POS销售收银系统、库存系统、销售分析系统、数据传输系统等、该系统运行在的局域网中,同时需要和总部进行数据交换。分店系统服务器采用Windows 2000/2003 Server操作系统和MS SQL Server 2000数据库服务器。


中小型企业部署BI系统的典型架构和关键技术
厦门名易OA软件销售人员2014年度每日工作清单
名易软件认为,一个企业的OA系统从开始到成功实施有其相对繁杂的过程
传统的杀毒软件或不适用于虚拟化环境
企业应用商业智能技术系统重构思考
企业数据仓库系统与商业智能的建立与实施
商业智能在ERP系统中的应用研究
ERP系统中KPI指标的建立与管理
信息发布:名易软件http://www.myidp.net